今天我们好好聊聊这个亚马逊CPC中的大家最为关心的ACoS这个问题,一提到ACoS这的值大家普遍认为低于25%的ACoS这甚至更低是非常好的。
但是别忘了我们在谈这个话题的时候我们却忘记了我们的产品所处的类目,和我们的产品所处的阶段,因为您在产品运营时每个阶段的ACOS的值应该不一样的。
很多新的亚马逊卖家来说ACoS这是非常模糊的一个问题,但是说白了就是亚马逊站内广告的花费和销售收入的比例。
这里还有一个非常重要的一个问题,我们花这个钱的最终目的就是广告的收入,但是你可别忘了,我们在投放广告的时候也在为我们的关键词提升排名。

那我们发现很多时候 ,大多数卖家忽略掉右边的广告对长期投资回报的影响,反而错过黄金时期,这里所说的黄金时期是什么呢?一开始亚马逊流量扶持阶段,我们做任何生意一开始肯定要多投资,多投资意味着风险大,但是你在这个投资的过程当中有没有合理化的控制你所承担的风险呢?
上面的这一段废话我们用简单的解释的话:增加预算或者一开始亏钱投放广告时你有没有好好去分析广告数据,并且合理化的减少或降低你的风险?
这意味着什么呢?假设我们在投放一个月的广告之后,这个广告活动能不能帮我们的listing 增加自然单,最简单的方法就是自然单的比例有没有增长。
题外话:我在上一次直播中也提到过站外的布局,站内的广告的布局也要和站外的布局相匹配,并且控制每个阶段的预算,搞清楚每个阶段的目的


比如说在三月分投放的广告有没有帮助我们增加自然单,或者你以一个礼拜为周期测试这个礼拜你的广告活动有没有增加你的自然单,你可以缩小你的日期都可以的

那这说明什么呢?这个月总销量的22%的销量来自于付费广告,那剩下的78%就是自然销量,这个相当于 你花了$1的投资回报不仅仅是这个$4.5,这个广告投资额外创造了$20.5,也就是一个月的广告不仅贡献了$24571并且贡献了这部分$1110830总额的78%,所以广告投资的长期影响和回报我们不能忽略的。
那我们在调整广告或者调整预算,竞价之后持续关注这个数字到底在增长呢还是在下降,如果这个数字在下降说明你做的调整出问题了,我们能够控制的是我们的预算,竞价,关键词的选择,说明我们在某一个关节出问题了,需要继续调整,同时优化我们的listing。
我刚才在文章的开始已经提到一开始的流量扶持阶段如何想办法争取我们的关键词的自然位,想清楚一件事儿,你要想办法占坑位的关键词往往是长尾词。
我们设想一下:比如你想卖帽子,但是你要购买这个产品的时候肯定有相应的风格,比如棒球帽或者鸭舌帽或者嘻哈帽,你在搜索产品时不可能只输入hat 肯定有 bassball hat for women / black baseball hat 类似这样的,因此你要想办法在这些出单词的排到好的位置。
那一开始亚马逊只能根据你的标题(title)你的产品类目归类,subject matter,intended use ,search term 这些条件来为你的产品进行归类,一开始完全没有自然位,因为自然位并不是埋关键词就能获得的,除非这个类目没有几个人竞争,或者这个关键词没有人放在自己的listing,所以我们终究还是要花钱,通过广告出单的方式给我们选定的词排位,以及提升排名。



那我们如何增加投资?这就是一开始你如何利用你的营销资金(投放广告的资金)投放广告时不要只盯着你的ACOS,这个ACOS是非常重要的指标,但是它的背后隐藏着很多内容,我们投放广告广告的最终目的是赚钱,但是在新品阶段我们的目的是利用广告占关键词的自然位。
我们讲解一个实际的案例之前我们先搞清楚这么几个名词:
盈亏平衡ACoS:假设你的产品利润【销售价格-(成本+两段运费+亚马逊佣金)】等于14美金(因为这个是假设其中的运费佣金我就没有详细解释),然后你的售价是32美金,你的盈亏平衡ACoS=$14/$32 相当于43%,就是说你的广告ACOS达到这个值的时候你是不赚钱的你用14美金赚了14美金而已。

这里的14美金也叫MAX CPA,就是为了卖出件商品保证不亏钱不赚钱前提下(保本)你最多能支出这个14美金,如果超出这个你就是亏的,虽然你卖出了但是你仍然是亏的。
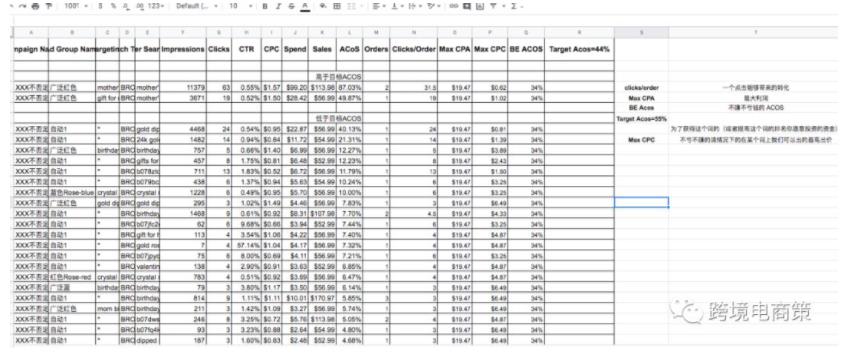
那我们现在从后台下载我们的数据业务报告分析,看看两个月的数据我们到底是亏还是赚钱?然后这个广告到底怎么调整

下载好了之后我们在表格里需要的选项是:
Campaign (活动名称)
customer search term (客户搜索词)
Impression (曝光)
Clicks (点击)
CTR (点击率)
CPC (点击费用)
Spend (广告费用)
Sale (销量)
ACoS
Orders (订单数量)
这10个我们要留下的指标,除此之外我们在表格上还要加上 以下几个指标
11. Clicks/Order ——点击除以订单数【衡量几个点击带来一个销量】
12.Max CPA ——获得一个订单我们可以支出的最大的费用
13.Max CPC ——获得这个订单该词我们在BE acos指标下可以支出的最高竞价值
14. Breakeven Acos——盈亏平衡ACoS
15. Target ACos ——我们前期获得这个词我们愿意投资的力度
问题:为了获快速获得出单词的自然排位,我们是不是要在这个广告词上提高曝光,和点击(前提我们优化的很好)以及持续转化?
答案:肯定的,因为很多人已经在这个类目比我们先上架了,我们如何利用广告抢夺这个词的位置,那这个时候是不是要投资我们一部分钱作为marketing 资金,说白了我们在这段时间需要提高我们的ACOS,一方面告诉亚马逊我们为了这个词愿意花钱,为了这个词的流量愿意牺牲我们的资金。
那这个阶段能不能提高我们的目标ACOS比盈亏平衡ACOS还要高一点,目的是什么?获得词相应的词

假设我下载的这一个多月的数据是亚马逊给我提供的初始广告数据,建立任何一个框架或者立论之前你肯定有一个假设和数据,这里前一个多月的数据就是我在往后的广告的调整提供了这个数据,如果你是想快速获得数据,很显然我们需要做的是增加预算,这样我们可以缩短获得数据的时间,并尽快进行判断,如果你的预算不够的情况你获得的初始数据可能是不太准。
我们现在根据这个数据对词进行布局,重新调整我们的广告策略,根据这个词的搜索量,与我们产品的相关性程度,我们进一步进行调整词,这个下面如何调整我会在下一篇和大家分享。
来源:跨境电商策